Nnamdi Azikiwe University (UNIZIK) wey dey for Awka, Anambra State don enta gbedu ground as fresh petition don land for di table of SUG President for August 21, 2025.
According to report wey dey di tori, di petition demand say make di university carry sharp investigation for SUG President, for di alleged gbege about law-breaking and money wahala.
Di mata come still involve Senate President, as dem talk say e sef no pure for this mata as dem accuse am too.
Dem talk say di President comot di Financial Secretary from union bank account signatory list without respect for di constitution.
E also dey try run money waka anyhow.
Di Senate President get hand for how legislative things for student union dey block.
Financial Secretary Comot—Constitution Break Law Enter
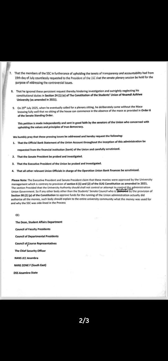
Di koko wahala start when di President suddenly remove Financial Secretary from bank account signatories list.
Di petition talk say dem no ask or get other of di student senate before dem take this kain move.
By union constitution, dem no fit remove signatory anyhow.
Dem suppose vote and approve am well well.
Di petition come still talk say this removal na serious disrespect to rules.
Na di quick move come make pipo suspect say di SUG President wan carry all finance control enta im pocket, e no dey show anybody face.
One student talk say, “Na bigger yawa be dis ooo.
Say dis one no be only law wey dem break, say dem follow enta di attack on transparency.”
SUG President for Money Embezzlement Don Dey Show Face Again
Di petition no end for breaking procedure alone.
E accuse president say e dey plan to chop union money.
After Financial Secretary comot, withdrawals start dey suspicious.
Make we no forget say SUG president don already get mata for money embezzlement early dis year 2025.
Dem accuse am say e thief 60 million naira waka.
Di mata still dey fresh for pipo mind, and now this fresh gbege just confirm say e nor go stop.
Somebody wey sabi union money palava talk, “Money wey suppose help students and their projects dey enta danger like dis.
Dis kain thing na betrayal.”
Senate President Turn Problem Maker
As e be, Senate President no dey do im job well.
Di petition talk say e block all di waka wey dem suppose do as lawmakers to check this mata.
Some pipo dey talk say e just dey allow executive arm to run road. E dey sleep on duty.
This kain laziness on top governance dey spoil di entire democratic process.
Students fit lose their voice if di situation continue.
Students Dem Dey Call for Independent Investigation Sharp Sharp
Di students body talk say nothing go fit fix dis wahala without proper investigation wey pipo outside di union go carry out.
One petitioner talk say, “If na true say dem do all dis palava, dem suppose pay penalty.
We need to protect students future.”
Dem want make university management make dem no waste time, make dem do correct investigation.
Wetin This Wahala Dey Show About UNIZIK Student Leadership
This mata don expose gbagada inside student leadership.
Transparency fail. Constitution dey treaten as joke.
E shock many pipo say man wey dem suspect for big corruption of 60 million before still dey do new bad things softly.
University administration sef get questions.
Many talk say dem no do their work well to stop dis kain bad culture.
How Di Wahala Fit Affect Students Welfare and Trust
Many student project and activities fit jam yawa or stop finish.
This one go spoil student life for campus.
Student union fit lose respect because if their leaders no fit dey transparent and accountable, then trust go scatter.
Dis Wahala Get Bigger Meaning for Nigerian Universities
This palava no dey peculiar to UNIZIK only.
Other universities sef dey watch.
E show how corruption fit waka finish if youth leaders no dey accountable and constitution no dey followed.
If nobody check am, corruption and bad governance fit spread everywhere for school unions.
UNIZIK Must Choose: Reform or Disaster
UNIZIK need solve dis tori now.
University management plus stakeholders must come together for real reform.
If dem no do, wahala go scatter hand, students go lose hope, and student union go breakup.
Make dem hold pipo wey dey do bad to book.
The Real Gist Now: Leadership Don Enter Crisis
UNIZIK dey face serious test now.
Student body dey shout for justice and reform.
Only honest leadership fit restore union role as true defender of students’ interest.
Everybody dey watch as this scandal fit set new path for student union accountability nationwide.




2 Comments
No be small wahala be this oo
x4u1ak